Đề kiểm tra giữa kì 2 Toán 10 có đáp án và lời giải

Tải tài liệu
Đề minh họa kiểm tra giữa kì 2 Toán lớp 12

Tải tài liệu
Đề Toán 12 kiểm tra giữa kì năm học 2020 – 2021 có đáp án

Tải tài liệu
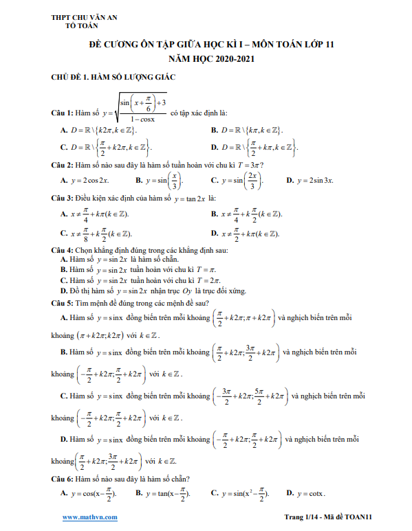
Đề cương giữa kì 1 môn Toán lớp 11 (trắc nghiệm + tự luận)

Tải tài liệu
Đề kiểm tra giữa kì 1 Toán 11 (70% trắc nghiệm, 30% tự luận)

Tải tài liệu
Đề kiểm tra giữa học kì 1 Toán 12 năm học 2021-2022 có đáp án (60 phút)

Tải tài liệu
Đề cương ôn tập kiểm tra giữa kì 1 lớp 10 mới (KNTTVCS)

Tải tài liệu
Đề Kiểm Tra Giữa Học Kì 2 Toán Lớp 10 Mới (Trắc Nghiệm + Tự Luận) Có Đáp Án

Tải tài liệu
Đề kiểm tra giữa kì 1 Toán lớp 10 chương trình mới (có đáp án)

Tải tài liệu
Đề kiểm tra giữa kì 1 Toán 12 chương trình mới theo cấu trúc 2025 (3 dạng thức)

Tải tài liệu